19 Enero 2022, 16:55
Actualizado 19 Enero 2022, 16:55

En las últimas semanas ha salido a la luz una publicación en la que se asegura que la cantidad de hielo marino en las inmediaciones del Ártico está descendiendo de manera alarmante. Lo afirma Irina Panyushkina, perteneciente al Laboratorio de Investigación de Anillos de Árboles de la Universidad de Arizona. Esta investigación ha sido financiada por la Oficina Polar de la Fundación Nacional de Ciencias, se publica en la revista Environmental Research Letters . 

El actual calentamiento global de origen antrópico no está ayudando a la situación, sino más bien lo contrario. Para colmo, el aporte de más agua dulce de procedente de los ríos de los alrededores complica aún más la situación ya que la salinidad disminuye.  

NASA
La directora del estudio, Irina Panyushkina, de la Universidad de Arizona.

A este comportamiento los científicos lo han llamado “amplificación del Ártico”, circunstancia que tiene doble vertiente: si bien se verán afectados ecosistemas de toda esa región, al mismo tiempo surgirán nuevas oportunidades y desafíos para los humanos, según este grupo de científicos. Aunque aún no se sabe del todo el alcance de estas consecuencias.  

Para este informe se ha tomado como referencia los cambios en el caudal del río Yenisei, el río de agua dulce más grande que desemboca en el océano Ártico. Y es ahí, precisamente, en su final donde se aprecian los cambios más relevantes.  

El río Yenisei es el río más largo de Siberia con 4.093km de longitud. 

Se está observando cómo en el último siglo la salida al mar del río se está amplificando de forma drástica. Todo parece indicar que hay un significativo cambio en los patrones de las corrientes marinas de la zona.  

previ
Cuenca hidrográfica del río Yenisei, el quinto más largo del mundo.

En los estudios anteriores atribuyen estas alteraciones a los cambios en la temperatura del aire, de las precipitaciones o de la capa de nieve. Pero una investigación más reciente y el estudio de Panyushkina sugieren que el principal impulsor es en realidad la degradación del permafrost, o suelo congelado, así como los incendios forestales en el sur de Siberia. 

Para llegar a estas conclusiones Panyushkina ha estudiado en profundidad el grosor y el distanciamiento de los anillos de los árboles de la zona. Con esta nueva técnica, llamada dendroclimatología, uno es capaz de investigar el clima del pasado (entorno a varios siglos) de forma muy fiable.  

El flujo de la corriente, o la cantidad de agua que se mueve a través de un área determinada de un río a lo largo del tiempo son las variables que se pueden estimar midiendo el espesor de los anillos de los árboles a lo largo de los años.  

previ
Localización de las muestras de los anillos empleados en el trabajo. 

Además de las mediciones del flujo de la corriente habituales realizadas por los servicios hidrológicos, Panyushkina y su equipo hicieron algo novedoso cuando pusieron su foco de atención en el aporte de agua que hacen los arroyos de invierno. Allí encontraron un aumento sin precedentes en la tasa de flujo de invierno en los últimos 25 años, casi un 80% superior al promedio observado durante aproximadamente 100 años. 

"En contraste, el flujo anual fluctuó normalmente durante el período de 300 años, con sólo un aumento del 7% en los últimos 25 años", dijo Panyushkina. 

Los datos de flujo de la corriente de invierno revelaron el papel del derretimiento del permafrost en el hielo del Ártico. 

Pero, cómo medir el caudal de agua en ríos que pasan la mayor parte del año congelados? Para ello hicieron medidas de la velocidad del agua líquida que discurría bajo ellos, incluyendo el agua descongelada del permafrost proveniente de los acuíferos. Esta fuente de agua subterránea es cálida en comparación con el aire gélido de arriba, y cuando eventualmente desembocan en el Océano Ártico, derriten el hielo. 

previ
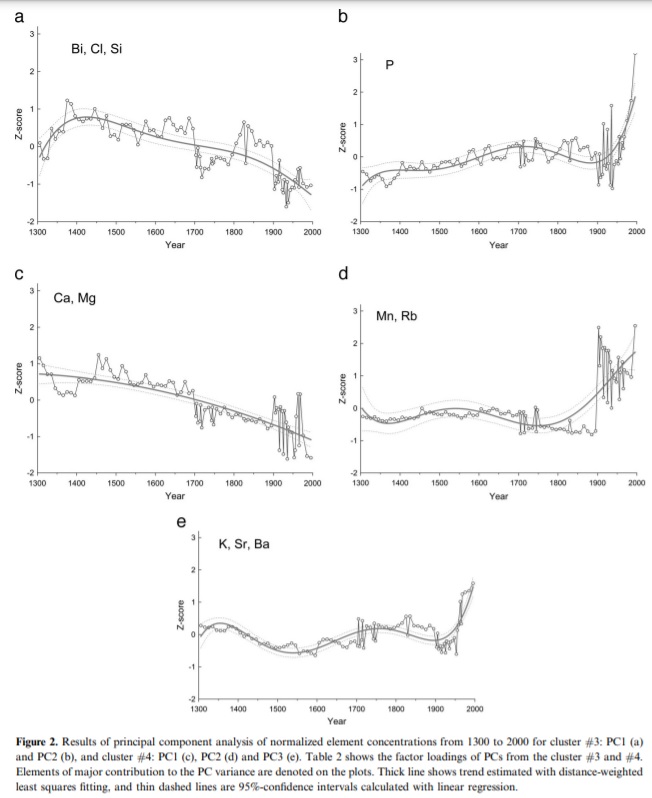
Estimación de la evolución de la composición química en el último milenio. Se observa un importante aumento en los valores del fósforo, el manganeso y el rubidio.

Este equipo de científicos sospecha que los incendios forestales también tienen su papel en este asunto. Se ha visto y comprobado que el número de fuegos en Siberia ha aumentado de forma drástica. "Cuando los incendios ocurren en bosques con permafrost, hay un deshielo profundo bajo el evento de incendio, y el área afectada a menudo no se recupera hasta por 60 años”.  

Con incendios a gran escala, de larga duración y más frecuentes es fácil pensar que tal vez estemos llegando al punto crítico cuando la degradación del permafrost no puede volver a la normalidad. Los incendios forestales también son otro proceso que aumenta la conectividad entre los acuíferos y el flujo de la corriente. 

También se cree que los incendios forestales son un factor que impulsa el derretimiento del hielo del Ártico. 

Los efectos combinados de la degradación del permafrost y los incendios son muy fuertes en la cuenca del río Yenisei, con más agua dulce y calor fluyendo hacia el Océano Ártico en las últimas décadas, según el estudio. A su vez, el derretimiento del hielo marino también exacerba el calentamiento global. 

previ
Desembocadura del río Yenisei.

"El interés de la investigación en la región está en auge porque la temperatura de la superficie se está calentando mucho más rápido aquí que en cualquier otro lugar del mundo", dijo Panyushkina. "Es un punto clave para la investigación del clima, y debido a que crecí allí y entiendo cómo funciona el sistema, es un tema de estudio natural para mí. También estoy muy interesado en conocer el impacto de un Ártico sin hielo en el entorno circundante". paisaje. Los humanos nunca antes habían visto un Ártico sin hielo. Mi mente todavía no puede comprender cómo el Océano Ártico puede estar libre de hielo". 

Para mediados de siglo, se espera que la disminución de la cantidad del hielo marino favorezca una mayor navegabilidad de los buques de aguas abiertas que cruzan el Ártico. Una futura ruta de transporte transártico llamada Ruta Supra Polar que unirá los océanos Atlántico y Pacífico a través del Ártico, lo que podría allanar el camino para un mayor comercio transártico. 

Un comercio que despertaría problemas geopolíticos y ambientales en el futuro cercano. Sería, por tanto, necesario la urgencia de un nuevo marco regulatorio por parte de organizaciones internacionales para garantizar protecciones ambientales adecuadas y estándares de seguridad de los buques. 

Puedes acceder al estudio aquí https://www.researchgate.net/publication/307525389_Trends_In_Elemental_…;

Más Información
Imagen

Los incendios en el Ártico lo convierten en una fuente de CO2

Imagen

La ola de calor de Siberia del año pasado, imposible sin la influencia humana